Алкидные смолы. Структура, свойства, модификации и применение

1181
4 минуты на чтение
Содержание:

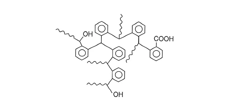
Алкидные смолы – это пленкообразующие для лакокрасочных материалов (далее ЛКМ). Они представляют сложные полиэфиры, модифицированные жирными кислотами,  растительными маслами или синтетическими карбоксильными кислотами. Молекулы алкидной смолы состоят из разветвленной полиэфирной основы со свободными гидроксильными и карбоксильными группами. Средний молекулярный вес алкидных смол – 2000-9000 г/моль. Структура алкидной смолы в упрощенном виде представлена на рисунке 1.

Схема

Рисунок 1. «Структурная формула алкидной смолы».

Термин «алкид» происходит от сочетания слов «Alcohol» – спирт и «aCID» - кислота, как продукт взаимодействия спирта и кислоты. С 1930 году алкидные смолы производятся в качестве сырья для производства ЛКМ. Доля лакокрасочных материалов на основе алкидных смол составляет 37% мирового производства синтетических лакокрасочных материалов. Это результат удачного сочетания сложного полиэфира и растительных масел. Полиэфирный компонент отвечает за физическую поверхностную сушку и атмосферостойкость. Масляный компонент отвечает за эластичность пленок  и за окислительную сшивку.

Преимущества алкидных смол

Самоотверждение при комнатной температуре.

Возможность регулировки свойств за счет выбора сырья и условий синтеза.

Способствуют смачиванию пигментов и подложки в составе ЛКМ.

Текучесть красок на основе алкидных смол.

Низкая стоимость – от 75 руб/кг.

Недостатки алкидных смол

Нестойки к воздействию щелочей и кислот.

Охрупчивание, пожелтение покрытий и потеря блеска при эксплуатации покрытий.

Время полного высыхания – более 7 дней.

Алкидные смолы классифицируют по содержанию жирных кислот  или масла:

Менее 40% масла – тощие алкиды, растворяются только в ароматических растворителях.

40-60% – алкиды средней жирности, растворяются в смеси алифатических и ароматических растворителей.

60% и выше – жирные алкидные смолы, растворяются в алифатических и в ароматических растворителях.

Окислительная сушка – химическая реакция сшивания остатков жирных кислот кислородом воздуха. В результате окислительной сушки образуются обширные сетчатые структуры через кислородные мостики (рис.2).

Схема

Рисунок 2. «Сшитые структуры алкидной смолы через кислородные мостики».

Для ускорения сушки используют сиккативы. Сиккативы – катализаторы, состоящие из органических солей металлов с различной степенью окисления. Распространены соли циркония, кобальта, марганца, свинца. Хрупкость и пожелтение покрытий на основе алкидных смол происходит в результате реакций разложения на кислородных мостиках, что приводит к частичному разрушению сетчатой структуры.

Жирные алкидные смолы высыхают путем окислительной полимеризации и физической сушки (испарение растворителя). При увеличении содержания масла  повышается текучесть ЛКМ, эластичность покрытия, смачиваемость пигментов и подложки, снижается скорость начального отверждения, увеличивается жизнеспособность краски и степень сшивки  покрытия. Область применения таких смол – строительные краски. Для строительных красок определяющими параметрами считается стойкость к выцветанию и атмосферостойкость. Такие свойства получают на основе подсолнечного, талового и соевого масел. Жирные алкидные смолы на основе соевого масла используются как основа для декоративных красок. Льняное масло в составе алкида приводит к быстрому высыханию покрытия. Однако такие покрытия склонны к сильному пожелтению из-за 50-70% содержания линолевой кислоты, поэтому используются в антикоррозионных грунтовках (под эмаль), выравнивающих составах и печатных красках. 

Продолжительная жизнеспособность ЛКМ на основе жирных алкидных смол становится недостатком, когда требуется быстрое отверждение покрытия до подсохшего слоя. Поэтому процентное содержание масла снижают и увеличивают полиэфирную часть. Однако сокращение содержания масла отрицательно влияет на эффективность пленкообразования из-за сокращением количества двойных связей.

Алкиды средней жирности и тощие алкиды используются в промышленных покрытиях для окраски сельскохозяйственных машин и бытовой техники, для ремонта автомобилей, радиаторов и для грунтовок и праймеров.  

Взаимодействие среднежирных и тощих алкидов с отвердителем повышает эффективность пленкообразования. В качестве отвердителя используют меламиновые, карбамидные, бензогуанаминовые смолы и полиизоцианаты. Лакокрасочные материалы такого состава называют термореактивными.

Алкидные смолы средней жирности и тощие комбинируют с меламиновыми и карбамидными смолами для покраски рулонного металла и консервной тары. Покрытия характеризуются оптимальным балансом эластичности и твердости, стойки к выцветанию и атмосферным воздействиям. 

Если при отверждении полиизоцианатами используют алифатический гексаметилендиизцианат и циклоалифатический изофорондиизоцианат, то в результате получают атмосферостойкие покрытия. В покрытиях для древесины используют ароматические изоцианаты, такие покрытия обладают повышенной твердостью, но не атмосферостойки.

Модифицированные алкидные смолы

  1. Модификация алкидных смол стиролом и винилтолуолом приводит к  ускорению отверждения покрытия до подсохшего слоя, повышает водо- и химстойкость покрытий.

    Однако при модификации алкидных смол улучшение одних свойств часто приводит к ухудшению других. Так, например, при модификации стиролом ускорение сушки достигается за счет снижения плотности сшивки и, следовательно, снижается сопротивление пленки покрытия к растворителям. Также такие смолы обладают худшей адгезией и ограниченной совместимостью с другими связующими.
  2. Сополимеризация алкидных смол и акриловых (метакриловых) эфиров приводит к увеличению атмосферостойкости, ускорению начального отверждения, повышению адгезии, смачиванию пигментов. Но при этом степень сшивки ниже по сравнению с немодифицированными алкидами, так как массовая доля масла ниже с учетом сополимера, а также часть двойных связей в жирной кислоте уже прореагировала во время сополимеризации.

    Сополимеры алкидных смол со стиролом, винилтолуолом и акрилатами используют в антикоррозионных ЛКМ для окраски судов, оборудования, выравнивающих составах и шпаклевках, для окраски листового  металла и упаковочных тюбиков.
  3. Наличие эпоксида в алкидной смоле улучшает скорость отверждения до подсохшего слоя, адгезию к металлу и антикоррозионные свойства. ЛКМ на основе таких смол используют для окраски листового металла и упаковочных тюбиков.
  4. Уретаналкиды получают путем замены части фталевого ангидрида в рецептуре алкида на диизоцианат. Такие алкиды высыхают быстрее, чем немодифицированные, повышается твердость, вязкоупругость покрытий, что приводит к улучшению стойкости к истиранию. Кроме того  повышается хим-, водо- и атмосферостойкость. Область применения – паркетные лаки, покрытия для пола и окраски лодок.
  5. Алкидные смолы модифицированные силиконом проявляют улучшенную атмосферостойкостью, химическую стойкость и повышенную теплостойкость.
  6. Модификация алкидных смол полиамидом приводит к появлению тиксотропных свойств у краски. Тиксотропные алкидные смолы используют для строительных красок в аэрозольных упаковках для получения толстого слоя нанесением одного слоя на вертикальных поверхности без подтеков и стекания.
  7. Модификация алкидной смолы металлами высшей валентности (например, триизопропилатом алюминия) приводит к  увеличению скорости отверждения. Такие покрытия стойки к воздействию влаги, химических веществ и механическим нагрузкам, поэтому нашли применение в красках для живописи, для окраски лодок и судов.

Материалы по теме:

Алкидные лакокрасочные материалы

Алкидный лак: преимущества, виды и применение

Краски и покрытия для металлов


Поделитесь в соцсетях

Комментарии

{{comment.name}}
{{comment.commentText}}
{{formatDate(comment.created_at)}}
Химтраст
Комментариев нет

Оставить комментарий

Нажимая кнопку «Отправить», я даю согласие на обработку персональных данных

Комментарий успешно отправлен